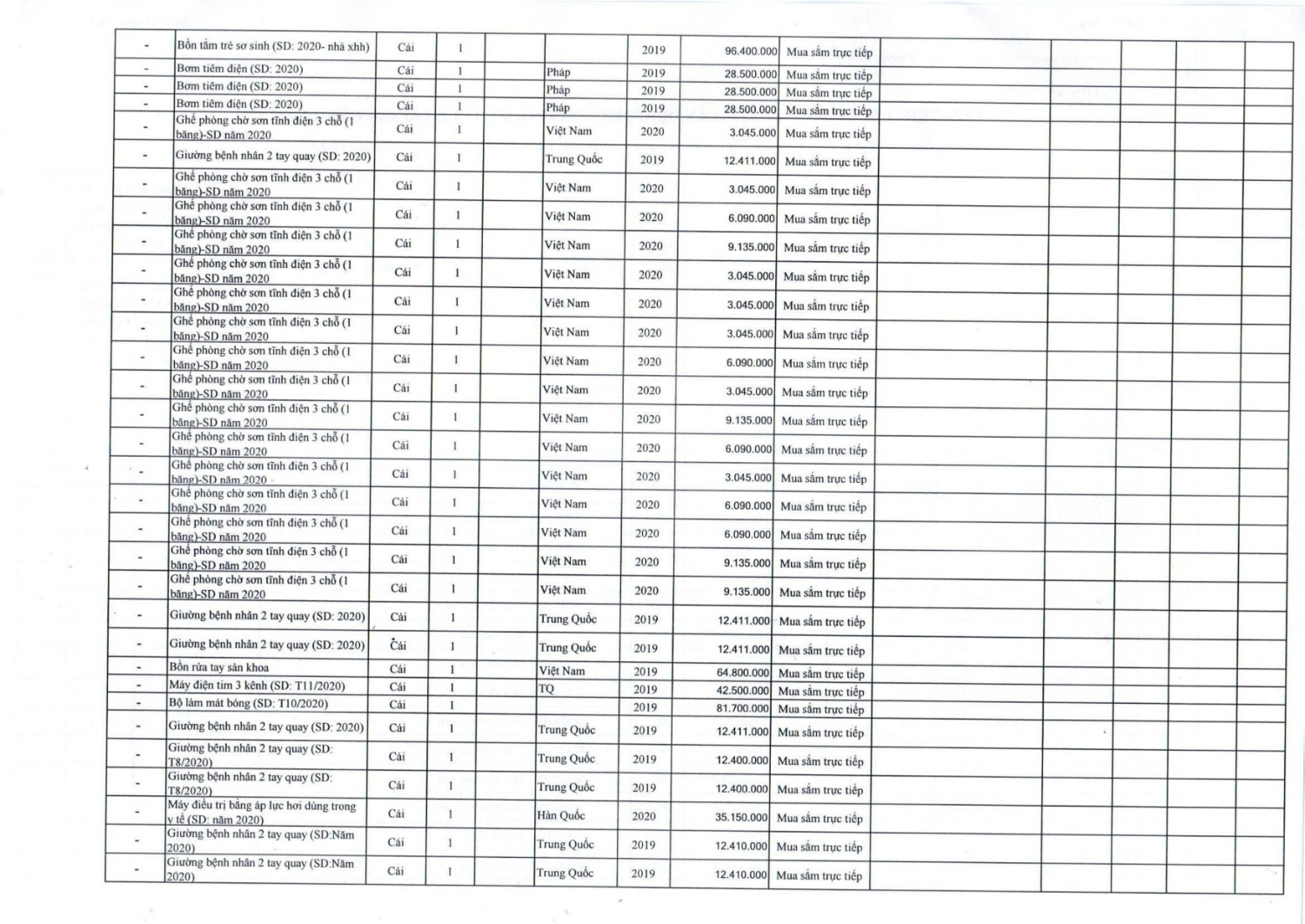
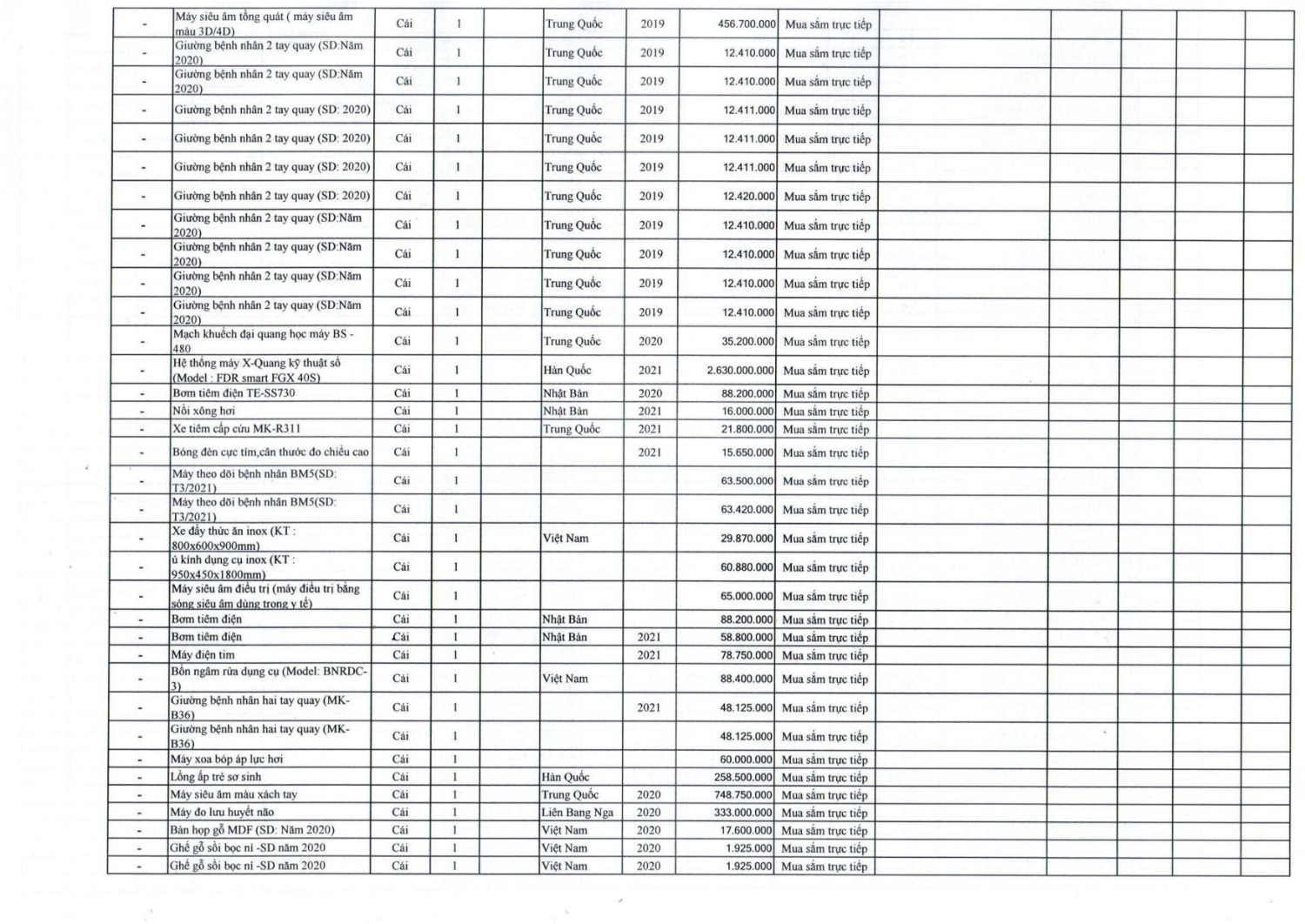
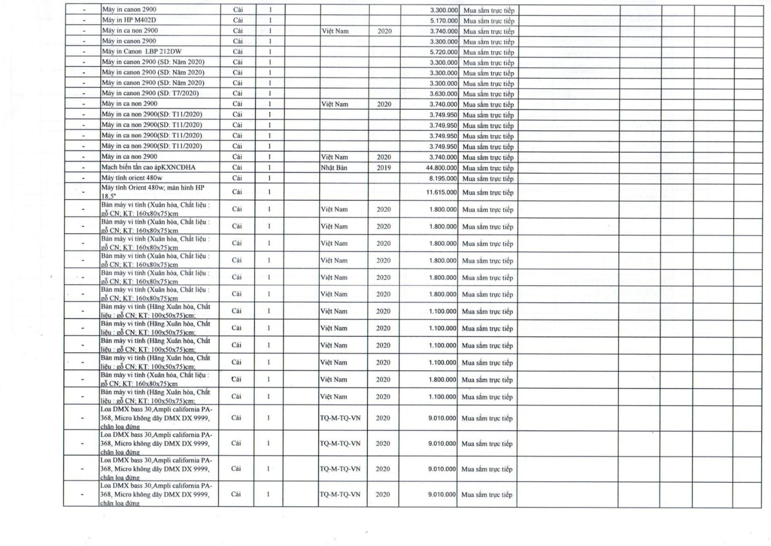
QĐ 08 CÔNG BỐ CÔNG KHAI MUA SẮM TÀI SẢN CÔNG 2021
| Số ký hiệu: |
Số: 08/QD-TTYT |
| Trích yếu nội dung: | V/v công khai kết quả thực hiện mua sắm tài sản công của Trung tâm Y tế huyện Tam Nông năm 2021 |
| Ngày ban hành: | 04/01/2022 |
| Hình thức văn bản: | Quyết định |
| Cơ quan ban hành: | TTYT huyện Tam Nông |
| Người ký duyệt: | GĐ Ngô Oanh Oanh |










Ý kiến bạn đọc
Những tin mới hơn
Những tin cũ hơn